From the outset of the full-scale invasion, Russian hypermarket chain Auchan has been supplying goods to the Russian military in the occupied regions of Ukraine. According to a joint investigation by The Insider and Le Monde, supplies to the military have been positioned as “humanitarian aid” and comprised both goods from Auchan warehouses and goods collected by volunteers in Auchan stores in different regions of the country. In some regions, deliveries were organized in direct cooperation with local authorities. In addition to supplying goods, Auchan helped the military registration and enlistment offices to draw in recruits from among its employees for the mobilization effort.
When global brands began to withdraw from Russia after the full-scale invasion began, the French Auchan stayed, stating, “Abandoning our employees, their families, and our customers is not a choice we can make.” In the same press release issued on March 27, 2022, days after Zelensky asked French companies to leave the Russian market, Auchan claimed: “We bake fresh bread in our stores every day for Ukrainians and Russians, which is vital at the moment.” To what extent bread from Auchan is vital for the survival of Russians is debatable, but, as we were able to ascertain, at the time of this statement Auchan was supporting not only its employees, but also the Russian military.
On March 15, 2022, Natalia Zeltser, controller of the Auchan St. Petersburg Directorate, sent the following letter to her colleagues:
“Good afternoon. Colleagues, please put together a cession for humanitarian aid (based on the list in the attachment) and send it to the Severny store tonight, give feedback once the pallets are ready.
Rules of palletizing (in part for goods from Logistics): stick posters saying HUMANITARIAN AID on the pallets.
Logistics [unit] to organize the transfer of pallets to the Severny [store] from the [following] stores:
Leto, Dybenko, Parnas, Borovaya, Evrika.
Transportation costs to be borne by the Severny [store].
Acceptance 044 - put all the pallets in one place, separate from the rest, Commerce in the morning, I will be there to accept.”
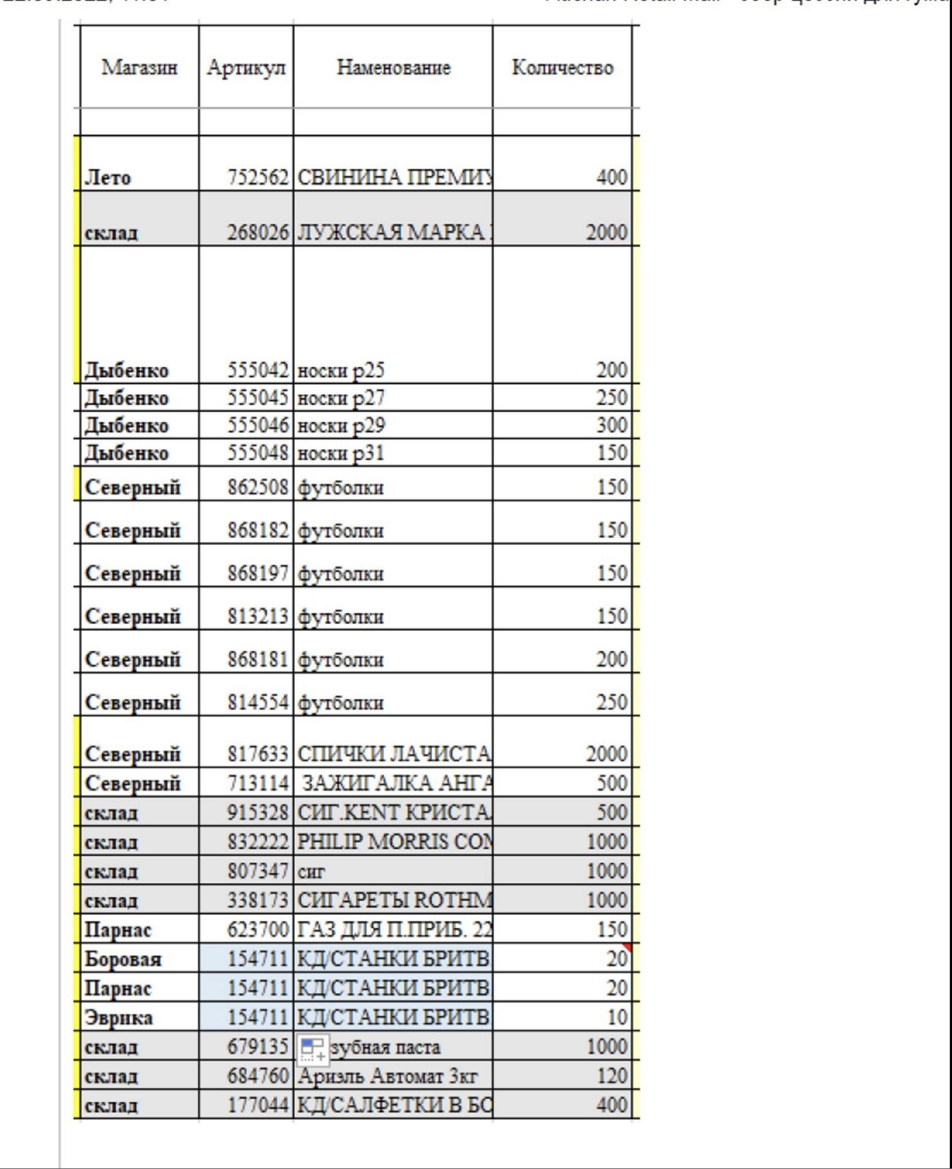
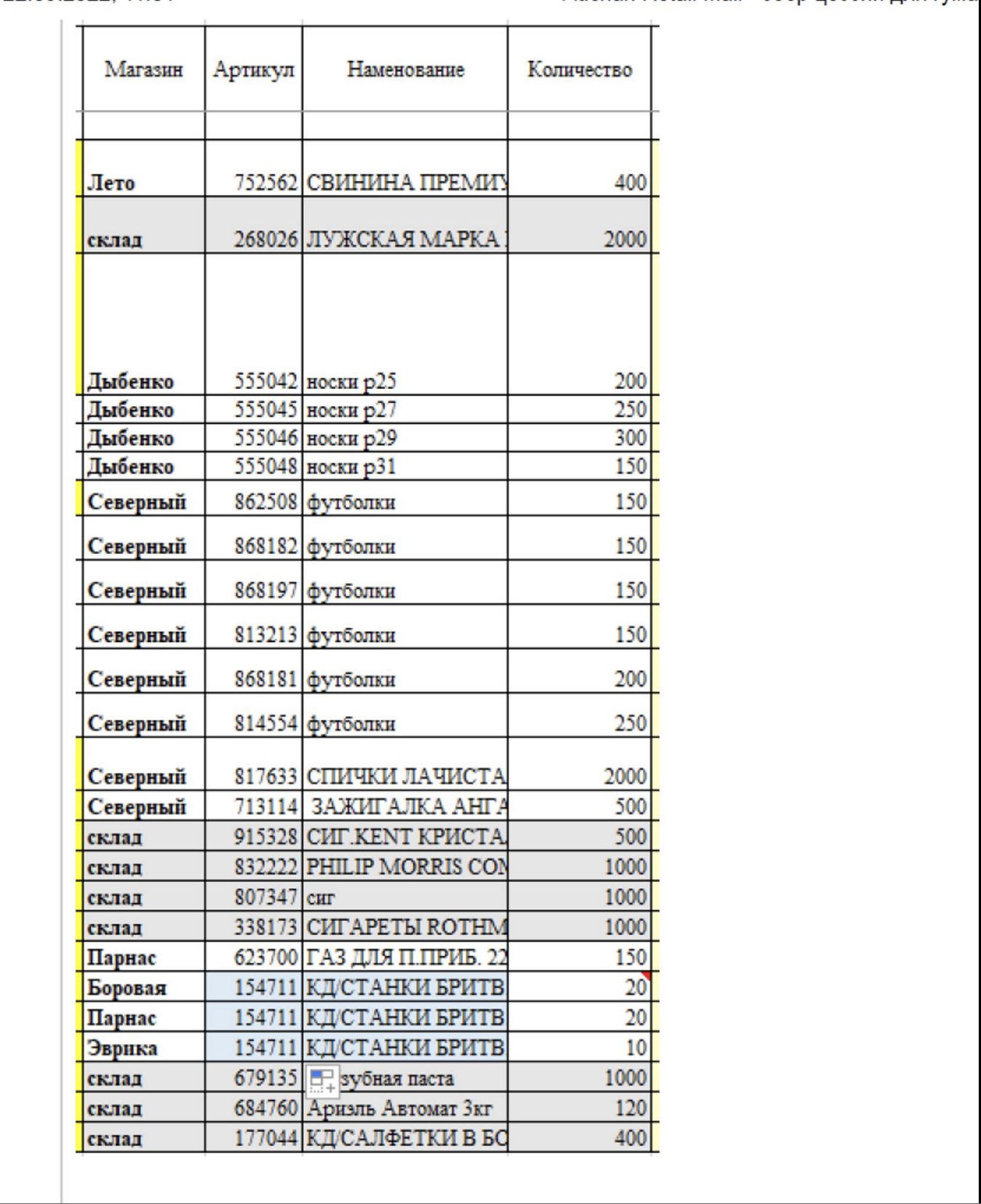
Attached to the letter was a list of items:
It is easy to see that all these goods are for men (for example, the smallest size socks on the list are size 25, which corresponds to size 40 shoes), there are cigarettes (which are never delivered as humanitarian aid), lighters, razors, but nothing for women or children. The number of items (1,000 tubes of toothpaste, 500 lighters) suggests that the goods were meant for a large number of recipients, enough for one or two battalions. The total value of the March “humanitarian aid package” was 2 million rubles ($27 000).
In subsequent letters (available to The Insider), Seltzer addresses the central office and asks that the “humanitarian aid package” be recorded as a purchase by ten legal entities. The Moscow office replies with a list of ten legal entities.
The Insider has invoices from those legal entities at its disposal, so the payment was indeed recorded as made by them. However a logistics manager of Auchan-St. Petersburg, said that in fact Auchan had given those items away for free, from its own stock. She specified, however, that she did not know who the final recipient was – the military or civilians.
On the other hand, Alexei R., an employee responsible for the acceptance of goods at one of the St. Petersburg Ashan stores with whom The Insider spoke, claims everything was clear to everyone: “From the moment the first email came I said I wouldn't touch it with a ten-foot pole, and when they were ready to ship, I asked Seltzer where the 'humanitarian aid' was going, and she said: 'You figure it out.' I insisted, 'Tell me where?' - and she replied, 'To the special military operation,' and then added: 'Unfortunately'.”
The Insider contacted the heads of the ten companies which had purportedly purchased the humanitarian aid package, and some of them were quite open about it. For example, Sergei Poma, the director of MTK LLC, and Galina Baranova, the director of Energiya-3000 LLC, admitted that the aid had been delivered to the Russian military, but refused to provide details. Some refused to comment, while others invented “legends,” like Tatyana Nekrasova, director of Venta LLC, who said that she had bought T-shirts and socks for her warehouse staff. When The Insider asked why her warehouse staff needed 700 lighters, she said that in March they were afraid of Ukrainian sabotage and power outages. When asked how the lighters would help her during a power outage, Nekrasova replied: to light a stove. When asked if Venta's warehouse was equipped with a wood-burning stove, she answered in the affirmative. When asked if 700 lighters was too many for a company with a staff of seven, Nekrasova stopped answering.
The companies chosen to cover up military supplies are linked together: they all service the St. Petersburg state-owned enterprise Passazhiravtotrans, which, in turn, is a part of the city's Committee on Transportation. Earlier, Alexander Lyubimov, deputy chairman of the St. Petersburg Committee for Social Policy, boasted how the committee, “together with our colleagues from the Transportation Committee”, had developed the logistics of delivering “humanitarian aid” to the Defense Ministry in fulfillment of Governor Beglov's order. According to him, they had collected 280 tons of aid from various organizations in this manner by October.
Auchan did not limit itself to its St. Petersburg stores in supplying the occupation troops. This is evidenced by the fact that the deliveries were coordinated with the Moscow office, and that the collection of aid in Auchan-owned shopping centers was also reported in other regions. For example, in Samara, Rybinsk and Vladimir collection points for “humanitarian aid for Donbass” were set up in Auchan stores.


Sergei Chubko, head of the Blizkiye Lyudi NGO, which supplies aid to the military, was even photographed in Vladimir with Alexei Sokolov, an Auchan employee; he captioned the photo with the following message: “We have secured the support of our partners.”


According to international law, only assistance to civilians is considered humanitarian aid during international conflicts. Support for one of the warring parties can lead to Auchan being sanctioned and trigger the departure of the company from the Russian market (Auchan's holdings in Russia include 230 stores, accounting for 10% of its turnover, or close to €3.2 billion a year).

Apparently, not only Auchan but also Leroy Merlin, which belongs to the same business conglomerate, has been supplying goods to the occupied territories. In any case, a video from Mariupol, published in December, shows members of the United Russia Young Guard unloading identical pallets with the Leroy Merlin trademark:

Interestingly, Auchan has been supporting the war not only by providing so-called humanitarian aid but also by helping the authorities to combat draft dodgers. Auchan collected and handed over to the military registration and enlistment offices data on its employees (data on military ID cards had been collected from employees in January 2022, before the full-scale invasion began) and then, after the announcement of mobilization, it helped the military registration and enlistment offices to fulfill the norm: employees were served draft cards right at the workplace and offered to resign, an eyewitness told The Insider.

Auchan’s Russian management refused to comment, and the press service of the French Auchan stated that the company does not meddle in politics and has not been engaged in any support of the military.

